外国语学院
英语系党支部
学校首页
站内检索
首页
认识外院
学院简介
机构设置
人员分工
党群工作
组织结构
组织发展
学生党员发展
廉政工作
党员活动
党员风采
学习园地
关工委
关工委委员
关工委活动
工会
工会委员会
工会活动
教师活动剪影
规章制度
专业教学
本科生教学
人才培养方案
专业设置
研究生教学
硕士点介绍
培养方案
导师团队
教务管理系统
教学信息管理
交流合作
教学动态
教学信息
教学资源
本科教学成果
本科网络教学
研究生教学成果
科学研究
科研动态
科研团队
世界海洋文学与文化研...
海洋法律法规翻译研究...
语言学研究中心
语言科学实验室
镇江市赛珍珠研究会江...
科研成果
论文
著作
奖励
科研项目
师资队伍
师资简介
教授
副教授
博士
讲师
语言实验与信息化管理...
语言教学实验室
语音科学实验室
治国理政多语种教科研...
学生工作
规章制度
学工队伍
团学工作
共青团工作
招生就业
本科生招生
研究生招生
本科生就业
研究生就业
学风建设
学生活动
考研光荣榜
奖助工作
评奖评优
助学帮困
心理健康
心理健康
日常管理
日常管理
校友之窗
校友风采
校友动态
同桌的我们
资料下载
教务资料下载
资料下载
学工资料下载
资料下载
其他资料下载
党建双创
标杆学院
党委概况
建设思路
建设计划
制度建设
创建动态
创新特色
样板支部(英语系)
样板支部(大学外语三...
支部概况
建设目标
建设计划
新闻动态
支部特色
成果展示
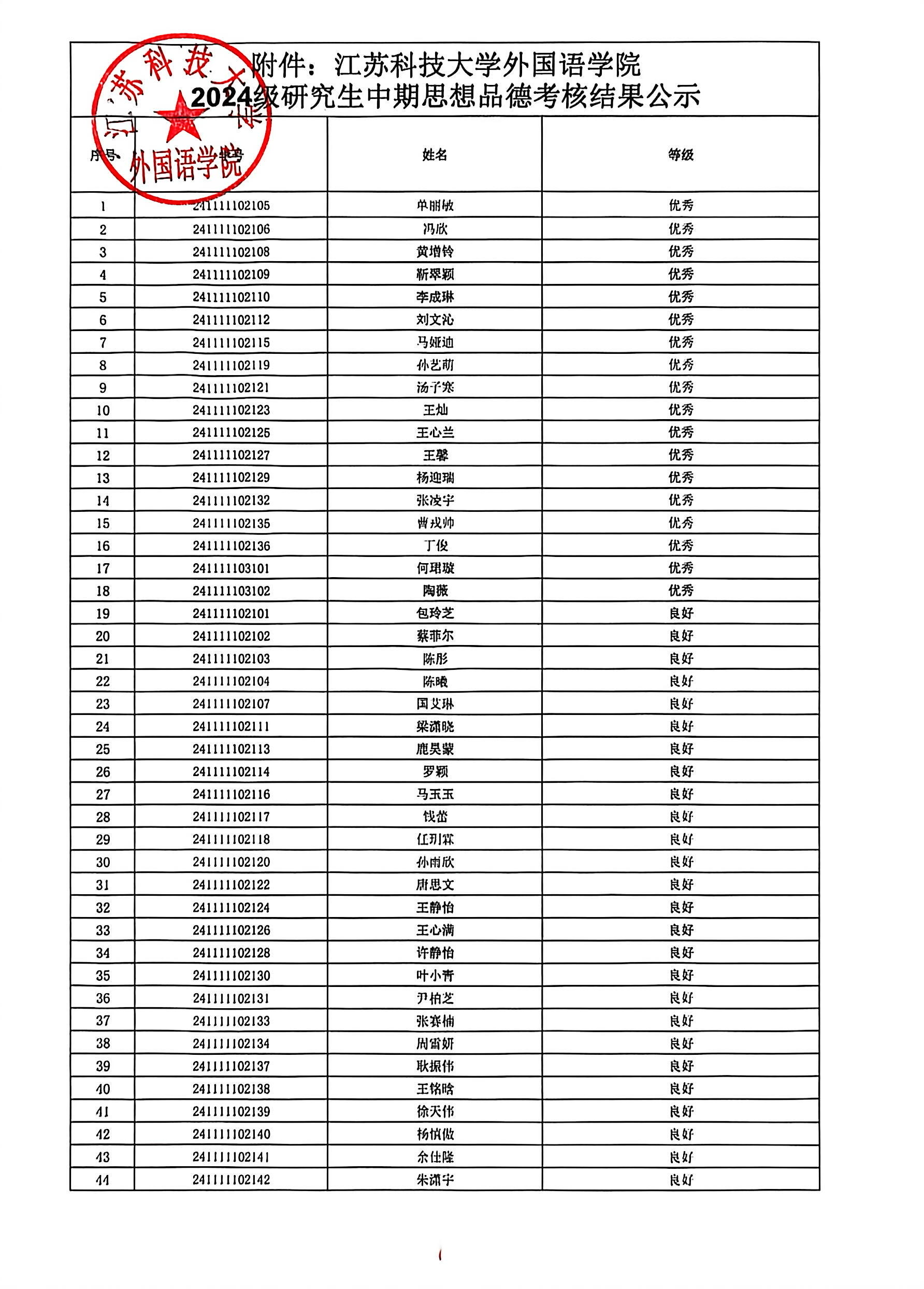
江苏科技大学外国语学院2024级研究生中期思想品德考核结果公示
发布者:赵莉
发布时间:2025-10-17
浏览次数:
13